Pangeya

PANGEYA

Wnen you using the site - you teach Artificial Intelligence!

Learn yourself and create training courses

Create truly unique content and earn a lot of money on it

REGISTRATION
TRY RIGHT NOW




Features And Services

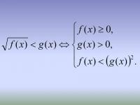
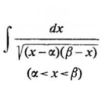
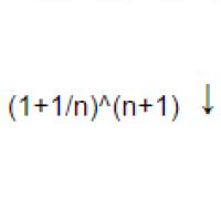
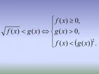
You can arbitrarily describe in detail any of your information in order to share it with friends - with the help of the following features:


Privacy

You can arbitrarily flexible customize the privacy of any of your information.


Join Our Newsletter

To receive our latest collections of information and to keep abreast of the most advanced technical innovations on our website - we offer you to sign to a free email distribution (which you can cancel at any time via the link in our emails)


Sign now
Up
Cancel Continue
Confirm that you are a human
Send Cancel